Telemonitoring Solutions
A new approach for prevention of acute complications of chronic degenerative diseases.
By José Fernández Villaseñor and Jesus Gaytan,
Freescale Semiconductor
Aging population and chronic degenerative diseases
Growing of aging population is a fact in our society. New therapies, early diagnosis with new sensors and MCUs technologies are now accessible to the general
population. Baby boomers are now becoming our senior citizens, and with this drastic changes in our health
system are a necessity.
Non communicable diseases accounted for almost 50% of the global burden of disease according to the World Health
Organization (WHO), today almost half of the diseases are non communicable ones. Among them the highest
incidence are for chronic degenerative diseases like cardiovascular disease, in which mainly hypertension plays
the largest part (600M people) and metabolic diseases like Diabetes (90M people).
The issue with chronic degenerative diseases is that a patient needs to control the homeostasis or physiological
balance for long periods of time, needing to create new habits in their daily lives, like taking daily
measurements of glucose levels or blood pressure that can become annoying or that are easy forgettable and so
becoming of no help to the physician in how the treatment is improving the patient's health.
Chronic diseases like Diabetes and Hypertension are becoming worldwide public health problems due to the lack of
control on the symptoms and the knowledge of patients is how to recognize our body's way to let us know that
something is not going well.
The prevention and early treatment of the sudden complications of these kind of pathologies (acute
complications) is vital for diminishing the causalities caused by them.
Also expenditure can become an issue, since long term pathologies could become a financial burden to the
patient. In this way the insurance companies are more aware of this problems and how the technology and medical
devices can prevent the acute complications, since they count for a big number of the reimbursement applications
they have.
Making the physician or healthcare provider accessible at all time is a way that patient has to monitor
accurately his health. If something is not normal for the patient he can start sending this data to whom might
diagnose or take the appropriate decisions to avoid a complication. Also some of the complications are silent,
and only systematic acquisition of the vital signs or data will prevent a fatal situation.
Home Health Hub is used to prevent the acute complications of chronic degenerative diseases.
Home monitoring devices directly address the chronic degenerative diseases problem. Intelligent
systems that acquire data from the end point devices like glucometers, heart rate monitors, blood pressure monitors, digital scales and
advising the proper time for taking a sign or taking a medication. Assuring that the data is analyzed and transmitted in a secure way to the healthcare provider.
The purpose of the Home Health Hub (HHH) Reference Platform is to monitor,
retrieve, store and report on the health data that is obtained from medical end devices. The data is made
available through a remote device with a display such as a tablet, PC or smartphone or directly through the
internet. The remote user interface can be used to track and monitor health status as well as provide alerts and
reminders (medications) to the person being monitored. Most importantly, the interface also provides a real-time
connection to caregivers - family, friends, and physicians. The concept is to provide ease of mind to the
caregivers as well as comfort and safety to the person living independently.
Knowing the disease is critical. We should be able to personalize each device in a way that adapts to the
patient's need and disease. This is challenge to both designers and OEM, scalability or products from low end to
high end, as well as low power consumption and peripherals integration is a key design point for engineers. This
article approaches two main diseases in actual population, diabetes and hypertension. A telemonitoring solution to monitor patients with this diseases is
proposed.
Hypertension & Diabetes medical standards for prevention, detection and evaluation of disease.
The Seventh Report of the Joint National Committee on Prevention, Detection, Evaluation, and Treatment of High
Blood Pressure (JNC7) has published some important guidelines regarding hypertension prevention and management.
The following are taken from the report as what they describe as the key points of the report:
- In persons older than 50 years, systolic blood pressure greater than 140 mmHg is a much more important
cardiovascular disease (CVD) risk factor than diastolic blood pressure.
- The risk of CVD beginning at 115/75 mmHg doubles with each increment of 20/10 mmHg; individuals who are
normotensive at age 55 have a 90 percent lifetime risk for developing hypertension.
- Individuals with a systolic blood pressure of 120-139 mmHg or a diastolic blood pressure of 80-89 mmHg
should be considered as pre-hypertensive and require health-promoting lifestyle modifications to prevent
CVD.
- Thiazide-type diuretics should be used in drug treatment for most patients with uncomplicated hypertension,
either alone or combined with drugs from other classes. Certain high-risk conditions are compelling
indications for the initial use of other antihypertensive drug classes (angiotensin converting enzyme
inhibitors, angiotensin receptor blockers, beta-blockers, calcium channel blockers).
- Most patients with hypertension will require two or more antihypertensive medications to achieve goal blood
pressure (<140/90 mmHg, or <130/80 mmHg for patients with diabetes or chronic kidney disease).
- If
blood pressure is >20/10 mmHg above goal blood pressure, consideration should be given to initiating
therapy with two agents, one of which usually should be a thiazide-type diuretic.
- The most effective therapy prescribed by the most careful clinician will control hypertension only if
patients are motivated. Motivation improves when patients have positive experiences with, and trust in, the
clinician. Empathy builds trust and is a potent motivator.
Acute complications of Hypertension
The most life threatening acute complication is the Hypertensive urgency and emergency. Hypertensive emergency
is characterized by a severe elevation in blood pressure above 180/120 mmHg complicated by target organ
dysfunction like cerebrovascular events, pulmonary edema, coronary ischemia or renal failure among others.
Hypertensive urgency does not include progressive target organ dysfunction.
Distinguishing between hypertensive emergency and urgency is crucial to appropriate management. Diagnosis could
be done easily by telehealth devices that already have data from the patient and that have history of
medications that the patient is taking. It helps as well to have the inputs of other signs and symptoms that the
patient should be experiencing at the moment and does not relate to the pathology, like the following.
For more information about technologies for Blood Pressure monitoring please refer to Inga's
article.
| Signs and Symptoms |
Hypertensive Crises, % |
Urgencies, % |
Emergencies, % |
P |
| Headache |
17.0 |
22.0 |
3.0 |
<.001 |
| Epistaxis |
13.0 |
17.0 |
0.0 |
<.001 |
| Chest pain |
13.0 |
9.0 |
27.0 |
<.005 |
| Dyspnea |
12.0 |
9.0 |
22.0 |
<.02 |
| Faintness |
10.0 |
10.0 |
10.0 |
NS |
| Psychomotor agitation |
7.0 |
10.0 |
0.0 |
<.004 |
| Neurological deficit |
7.0 |
3.0 |
21.0 |
<.001 |
| Vertigo |
6.5 |
7.0 |
3.0 |
NS |
| Paresthesia |
6.5 |
6.0 |
8.0 |
NS |
| Vomitus |
2.5 |
2.0 |
3.0 |
NS |
| Arrhythmia |
1.0 |
6.0 |
0.0 |
<.04 |
| Other |
5.6 |
2.0 |
3.0 |
NS |
Taken from Hypertensive Urgencies and Emergencies. Prevalence and Clinical Presentation. Bruno Zampaglione;
Claudio Pascale; Marco Marchisio; Paolo Cavallo-Perin.
Hypertensive urgency is managed using oral antihypertensive drugs in outpatient or same day observational
setting, on the contrary emergency needs to take the patient to an intensive care unit with parenteral
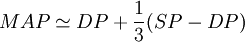
medication. Goals in hypertensive urgency is the reduction of mean arterial pressure (MAP) by no more than 25%
in the first 24 hours with oral therapy.
Hypertensive emergency should be reduced by 10% during the first hour and an additional 15% in the following 2
to 3 hours. We can see clearly why the automation of this data is of vital importance to the physician in order
to comply with an accurate management of this complication.
Diabetes
The other disease which accounts for number 2 of incidence in the globe is Diabetes. When poorly controlled
glucose levels could lead to vascular complications like arterial microthromboses, retinopathy, nephropathy and
neuropathy. Mostly caused by superoxide production, activation of Protein Kinase C, glycosylation of serum and
formation of glycation end products.
Acute complications of diabetes
The most common and fatal acute complication is hypoglycemia. Weather patients are more concerned about high
levels of glucose (hyperglycemia), that accounts for chronic complications like diabetic retinopathy,
nephropathy, neuropathies, infection and others.
Strict control of glucose is inadvisable in some patients like those with short life expectancy, hypoglycemic
symptoms unawareness or those who cannot communicate the symptoms like young children. However using Telehealth
solutions with powerful systems like closed loop solutions in which glucometers and insulin pumps are merged
together we could easily avoid those situations.
Image: Glucometer solution for Diabetic patients
One of the most common causes of hypoglycemia in elderly patients is the overdose of antiglycemic drugs.
Sometimes they forget about they have already taken their dosage and by mistake take another dose of the drugs,
causing fatal accidents.
Freescale enables technologies for avoiding acute complications of chronic degenerative diseases.
The Platform
The Home Health Hub HHH reference platform consists of an aggregator/gateway
board based on the low-power ARM9
i.MX283 running various connectivity interfaces to medical end devices, remote user
interface and a broadband IP network. Also included is a panic alarm sensor based on the MC12311 sub-GHz radio,
providing Personal Emergency Response System (PERS) functionality.
Software is a critical piece to the overall solution so this reference platform includes board support package
options (Linux® and Windows® Embedded Compact 7), connectivity stacks and user interface example code.
| Windows Compact7/Linux BSP and example code |
Object and source code provided at no additional cost |
| ZigBee Healthcare and Home Automation stacks |
Object and source code provided at no additional cost |
| Bluetooth HDP and Low Energy stacks |
Object code provided at no additional cost, source code subject to 3rd party license
(Stonestreet One) |
| USB PHDC stack |
Object and source code provided at no additional cost |
| Wi-Fi stack |
Object and source code provided at no additional cost |
Purpose/Capabilities of the Reference Design for telehealth applications include:
- Automatic reporting of vital sign measurements
- Cloud connectivity and secure integration into medical vaults
- Pervasive mobile device access
- Daily activity alarms, security alarms and passive monitoring of safety sensors for early detection of
injury or security risks
- Anytime consultation with monitoring center, medical staff, family and friends
- Anytime and intuitive access to trusted health resources
- Compelling user interface for a remote display
Key Benefits
- Development platform with multiple connectivity options to provide customers with a rapid prototyping
vehicle, reduce time to market and focus resources on their own differentiation
- re-validated connectivity with USB, BT, BTLE, Wi-Fi®, ZigBee® and Ethernet including medical class
grades
- Hardware schematics, Gerber files provided at no cost
- Complete ecosystem support for Linux® and Windows® Embedded Compact 7 OS, connectivity stacks, user
interface, system integration and customization.
Products Overview
- i.MX28 Processor
- Multiple connectivity options with the i.MX28 applications processor - display, touchscreen, 10/100
Ethernet, Dual USB, multiple UARTs, SDIO and others
- Optional display capabilities with integrated display controller and basic image processing
capabilities for intuitive graphics and video playback
- Integrated power management reduces cost and complexity
- Part of a complete ARM portfolio ranging from ARM9 to Cortex A9 - provides scalability for
performance and features
- ZigBee Radio
- Integrated ARM7TDMI 32-bit up to 26 MHz
- 128 KB of Flash, 96 KB of RAM, 80 KB of ROM
- Peripherals: UART, SPI, KBI, 8 channel 12-bit ADC, 4x16-bit timer, I2C, SSI (I2S)
- MAC accelerator reducing MCU overhead
- ZigBee Health Care and ZigBee Home Automation supported
- AES 128-bit hardware encryption/decryption
- Sub-1 GHz radio
- Demonstrates exceptional RF performance with a budget link up to +137dB
- Very low power suitable for battery operated devices
- Support of multiple modulation schemes (GFSK, MSK, GMSK, and OOK)
- Supports 290-340MHz, 424-510MHz, and 862-1020MHz frequency bands
- High-level of integration, including the proven HCS08QE 8-bit MCU core with up to 50MHz bus clock,
embedded 32KB Flash and 2KB of RAM supporting wireless communication protocol and application
software in a single chip
- Full set of peripherals
Ecosystem of Partners
Freescale has an ecosystem of third party partners supporting this reference platform, including DIGI,
Microsoft, Stonestreet One, and UICentric for software and hardware solutions.
Conclusion
Modern society faces public health issues of the rapid increasing aging population and their pathologies
demographics. This means aging independently, adequate vital signs and drug intake monitoring from distance.
Avoid of acute complications that means the highest costs for the patients when admitted to a hospital ER
facility.
Taking this into account Freescale offers to the community of medical equipment designer and
OEMs, hardware tools and a new software Home Health Hub Reference Platform, which enables concurrent software
and hardware development allowing hardware designers and developers to bring solutions faster to market.